První ionizační manuální zubní kartáček IONICKISS ORIGINAL a KIDS generuje záporné ionty a usměrňuje jejich tok mezi kartáčkem a zubem. Tato ionizace tak narušuje iontovou vazbu mezi plakem a zubem, a tím odpuzuje plak od povrchu zubů směrem k hlavici kartáčku. S ionizačním zubním kartáčkem jsou zuby až o 48 % čistější a to i v těžce přístupných místech. Navíc bez nutnosti použití pasty. Významná zlepšení při použití tohoto kartáčku v oblasti kontroly plaku, zubního kazu a nemoci dásní potvrzují i klinické studie.
Klinické vyhodnocení ionizačního kartáčku při odstraňování plaku a redukci gingivitidy
Ronald L. Van Swol, Donald E. Van Scotter, Jeffrey J. Pucher, Andrew R. Dentino
Abstrakt
Klinická účinnost manuálního ionizačního zubního kartáčku byla vyhodnocena při odstraňování zubního plaku a snižování zánětu dásní. Dvojitě zaslepená studie vyhodnotila účinek nepostřehnutelného, elektrického proudu na zubní plak a zánět dásní během čištění zubů. Studii dokončilo šedesát čtyři dospělých. Gingivitida a index plaku byly stanoveny na začátku, po třech a šesti měsících. Výchozí úrovně obou skupin byly vyvážené. Při každém vyšetření byli účastníci instruováni o správném držení zubního kartáčku a upozorňováni na výměnu jeho hlavice po každých 4 týdnech. Statisticky významné zlepšení skóre plaque indexu bylo pozorováno od výchozí hodnoty do 6 měsíců mezi kontrolní a testovací skupinou a v rámci testovacích skupin. Skóre modifikovaného plaque indexu také vykázalo významné zlepšení od výchozí hodnoty do 6 měsíců mezi kontrolní a testovací skupinou a v rámci testované skupiny (Quintessence Int. 1996; 27: 389 · 394).
Klinický význam
Díky každodennímu svědomitému používání ionizačního zubního kartáčku může ochotný pacient odstranit podstatně více plaku než u jiných zubních kartáčků, čímž se sníží riziko zánětu dásní a tvorby zubních kazů.
Úvod
Po mnoho let lidé používají různé metody čištění zubů. Nejvíce primitivní metodou bylo použití různých druhů dřevěných klacíků. Hlavním důvodem pro čištění zubů v dávných letech bylo odstranění potravinových částeček, které způsobovaly orální nepohodlí, zatímco dnes je ústní hygiena specificky zaměřena na kontrolu plaku.1 Dnes je čištění zubů nejrozšířenější metodou ústní hygieny a má velmi vysokou míru sociální přijatelnosti.2 Ukázalo se, že v průmyslově rozvinutých oblastech si 80–90 % populace si čistí zuby jednou nebo dvakrát denně.3, 4 Bylo dále prokázáno, že čištění zubů praktikované většinou těchto lidí je neuspokojivé, pokud je cílem kontrola plaku. Průměrné denní čištění trvající přibližně 2 minuty odstraní pouze polovinu nahromaděného plaku a zbývající polovina podporuje rychlý opětovný růst.5 Toto zjištění podpořila další studie, ve které bylo prokázáno, že průměrný člověk čištěním odstraní pouze asi 50 % přítomného plaku na zubech.6
Ve snaze zvýšit množství odstraněného plaku při každém čištění zubů bylo vyvinuto spoustu různých velikostí a tvarů zubních kartáčků z různých materiálů. Byly vynalezeny kartáčky s měkkými štětinami, vícedílnými hlavami a kónickými vlákny. Kromě toho existuje mnoho zubních kartáčků na elektrický pohon. Ruční a elektrické zubní kartáčky jsou obecně stejně účinné při odstraňovaní bakteriálního plaku.7 Navzdory zdokonalování typu zubního kartáčku a jeho designu, většina lidí stále odstraní jen asi 50 % přítomného plaku.5 Vývoj zubního kartáčku, který by umožnil průměrnému člověku denně odstranit více plaku je velice žádoucí.
Ve snaze dosáhnout lepšího odstranění plaku byl vyvinut manuální ionizační zubní kartáček. Účelem této studie na pacientech bylo vyhodnotit účinnost ionizačního zubního kartáčku HyG (Hukuba Dental) při odstraňování zubního plaku a redukci zánětu dásní.
Princip mechanismu ionizačního působení
Základní porozumění mechanismu ionizačního působení je zásadní. Používání zařízení s ionizačním působením v ústní dutině není nový koncept. Termíny iontoforéza, elektroforéza a elektroionizující byly v zubním lékařství používány jako synonyma po mnoho let.8–11 Iontová aktivita byla koncepce původně vyvinutá pro znecitlivění přirozeného zubu. Pratt12 si tuto myšlenku patentoval v roce 1889.
Mechanismus iontového působení je způsoben změnou polarity zubů. Zuby jsou normálně záporně nabité a plak je kladně nabitý. Opačné náboje se navzájem přitahují a spojují. Plak je proto připevněn k povrchu zubu iontovou vazbou.19
HyG zubní kartáček* má 3V lithiovou baterii umístěnou pod kovovým páskem na rukojeti. Baterie je obdobou baterie hodinek a stejně bezpečná. Štětiny kartáčku jsou negativně nabité kovovou tyčinkou v jeho hlavě. Když kovový pásek na rukojeti zubního kartáčku držíme navlhčenými prsty, pozitivně nabité ionty se během čištění přenášejí na zuby. Polarita zubu se mění z negativního na pozitivní. Kladně nabité ionty zubů odpuzují kladně nabité ionty zubního plaku. Pozitivně nabité ionty plaku jsou poté přitahovány k záporně nabitým štětinám zubního kartáčku hyG. Tato důležitá iontová výměna spolu s normálním mechanickým působením štětin na povrchu zubu a dásní může zlepšit odstraňování plaku.
Kontakt vlhkých prstů s kovovým páskem na rukojeti zubního kartáčku hyG je nezbytný pro maximalizaci iontového přenosu molekul plaku mezi zuby a štětinami zubního kartáčku. Laboratorní studie ukázaly, že skutečné napětí z 3V lithiové baterie je 1,5V u zubů, když je kartáček držen navlhčenými prsty. Proud je pouze 0,8 V, když je kartáček držen suchými prsty.14
Metoda a materiály
Dospělí muži a ženy byli vybráni z fakulty, zaměstnanců a běžných pacientů na zubní fakultě Marquette University (USA). Všechny potenciální subjekty byly důkladně prověřeny a od těch, kteří se zúčastnili, se vyžadovalo splnění následujících kvalifikací:
1. Vyplnili dotazník „Confidential Health Questionnaire“
2. Podepsali formulář informovaného souhlasu, který schválila Institucionální kontrolní komise na Marquette University
3. Tvořil se jim zubní plak, jak prokázalo klinické vyšetření
4. Nebrali žádné léky ani nepoužívali ústní vody, které by mohly mít inhibiční účinek na tvorbu zubního plaku
5. Měli minimálně 20 přirozených zubů
6. Souhlasili s návratem k pravidelným vyšetřením 3 a 6 měsíců po změně zaznamenání počátečních údajů
Záměrem této studie bylo zaregistrovat 65 až 70 pacientů, kteří splnili tato kritéria. Tři zkoušející byli vyškoleni hlavním zkoumajícím v klinických indexech, které mají být použity, a byli testováni na spolehlivost intraexaminerů a interexaminerů. Bylo dosaženo vysoké úrovně spolehlivosti.
K vyhodnocení zánětu dásní byl použit plaque index.15 Gingivální tkáně byly rozděleny do dvou gingiválních skórovacích jednotek, a to na labiální/bukální a lingvální/palatální povrchy. Kritéria pro bodování byla následující: 0 = normální dásně; 1 = mírný zánět – mírná změna barvy a mírný edém, ale žádné krvácení při sondování; 2 = mírný zánět – zarudnutí, otok a určité zasklení, ale žádné krvácení při sondování; 3 = těžký zánět – značený zarudnutí, otoky a krvácení při sondování.
Modifikovaný plaque index16 byl použit k vyhodnocení zánětu dásní na labiálním/ bukálním a lingválním/palatálním povrchu zubu: 0 = bez plaku; 1 = oddělené skvrnky plaku na cervikálním okraji zubu; 2 = tenký souvislý pás plaku (do 1 mm) na cervikálním okraji zubu; 3 = pás plaku širší než 1 mm, který však pokrývá méně než jednu třetinu korunky zubu; 4 = plak pokrývá alespoň jednu třetinu, ale méně než dvě třetiny korunky zubu; 5 = plak pokrývající třetiny nebo více temene zubu.
Do studie bylo vybráno 71 subjektů. Každý z nich podstoupil gingivální vyšetření úst. Poté, co byla každá oblast zubu hodnocena podle indexu dásní, byly subjektům podány odhalující kapalné roztoky pro 15sekundové vyplachování. Poté byla stanovena a zaznamenána skóre indexu plaku.
Subjekty dostaly předem zabalený a kódovaný hyG ionizační zubní kartáček (obr. J). Zubní kartáčky byly přijímány rovnoměrně rozdělené (po 36 kusech) s aktivními a neaktivními bateriemi. Každý balíček měl kódové číslo, které bylo pro subjekt zaznamenáno v době předání. Vědci ani subjekty nevěděli, zda jejich zubní kartáček obsahuje aktivní nebo neaktivní baterii.
Dostali písemné pokyny a účastníkům bylo ukázáno, jak správně držet zubní kartáček, aby se jejich vlhké prsty dotýkaly během čištění zubů kovového pásku. Subjektům bylo řečeno, aby si čistily zuby alespoň dvakrát denně svou obvyklou technikou. Dále jim bylo doporučeno, aby během studie nepoužívaly žádné výplachy, které by mohly ovlivnit inhibici plaků. Byly rozdány další hlavice zubního kartáčku s měkkými nylonovými štětinami o průměru 0,18. Subjekty byly instruovány o výměně hlav kartáčků každé 4 týdny. Poté byli objednáni na schůzku pro další bodovací sezení, přibližně 3 měsíce od data počátečního vyšetření.
Při tříměsíčním vyšetření byla stanovena a zaznamenána skóre zánětu dásní. Každý subjekt dostal odhalující roztoky a byly zaznamenány akumulace plaků. V průběhu prohlídky byly subjekty sledovány, aby byla zajištěna bezpečnost jim přiděleného zubního kartáčku. Posouzení bezpečnosti zahrnovalo vyšetření jazyka, tvrdého patra, dásní měkkého patra, ústní sliznice, oblasti sublingválního prostoru, struktury zubů, zubních náhrad a oblastí krčků. Jednotlivci byli dotazováni na jakékoli nežádoucí účinky přiděleného zubního kartáčku. Každý subjekt byl znovu instruován, aby správně držel zubní kartáček a měnil hlavice kartáčku každé 4 týdny. Dostal termín závěrečné prohlídky, přibližně 6 měsíců od prvního vyšetření.
Subjekty, které se vrátily po 6 měsících v poslední fázi studie, byly znovu pozorovány a dotazovány ohledně bezpečnosti jejich zubního kartáčku. Byly stanoveny a zaznamenány gingivální záněty a skóre plaku. Subjekty byly informovány, že studie byla dokončena.
Všechna data byla statisticky analyzována pomocí počítačového softwaru Statview 512 (Brainpower). Statistická významnost dat pro index dásní a index plaků ve skupině byla stanovena pomocí t-testu.
Výsledky
Na konci klinické fáze studie byly od sponzora obdrženy kódy označující zubní kartáčky s aktivní baterií nebo bez ní. Na základě kódů byla data subjektů rozdělena do dvou skupin pro vyhodnocení a statistickou analýzu. Do skupiny A byli zařazeni jedinci, kteří dostali zubní kartáček s aktivní baterií. Do skupiny B byli zařazeni ti, kteří dostali zubní kartáček s neaktivní baterií. Tabulka 1 uvádí demografické údaje subjektů ve studii. Ze 71 vybraných subjektů studii dokončilo 64. Sedm subjektů bylo ze studie vyřazeno a jejich skóre nebylo zahrnuto do konečné analýzy. Čtyři z nich během testovacího období nepoužívali výhradně přidělený zubní kartáček a tři užívali předepsaná antibiotika.
Výsledky této studie jsou uvedeny v tabulce 2. Výchozí indexy obou skupin byly dobře vyvážené. Průměrné hodnoty plaque indexu15 byly stanoveny na 1,68 až 1,71 pro kontrolní a testovanou skupinu. Statisticky významné zlepšení bylo pozorováno od výchozí hodnoty do 6 měsíců mezi kontrolní a testovanou skupinou. V testované skupině došlo také ke statisticky významnému zlepšení od výchozího stavu do 6 měsíců. Celkové zlepšení zdraví dásní bylo u testované skupiny 51,87 % a u kontrolní skupiny 30,18 %.
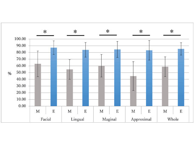
Průměrný modifikovaný plaque index16 byl stanoven na 2,00 a 1,76 pro kontrolní a testovanou skupinu. Skóre indikovala statisticky významné zlepšení od výchozí hodnoty do 6 měsíců mezi kontrolní a testovanou skupinou. Testovaná skupina měla 36,17 % snížení plaku, ve srovnání s pouze 18,56 % u kontrolní skupiny. To znamená, že testovaná skupina eliminovala o 48,69 % více plaku než kontrolní skupina. V testované skupině došlo také ke statisticky významnému zlepšení od výchozího stavu do 6 měsíců. Obrázky 2 a 3 ilustrují významné zlepšení pozorované v průběhu šestiměsíčního testu.
Diskuze
Tato dvojitě zaslepená klinická studie hodnotila účinek malého a nepostřehnutelného elektrického proudu na lidský zubní plak a zánět dásní během čištění zubů. HyG ionizační zubní kartáček použitý ve studii má 3V lithiovou baterii (Panasonic, Hitachi nebo Sony), která přenáší kladný elektrický náboj do kovového pásku na rukojeti a záporný náboj do štětin. Tělo, které je elektricky vodivé, slouží jako kanál pro elektrický náboj směřující do zubů.
Když je zubní kartáček držen ve vlhké ruce a štětiny hlavy zubního kartáčku se dotýkají cílových zubů nebo dásní v přítomnosti slin, je napájen nepostřehnutelný elektrický obvod. Sliny se stávají elektrolytem, ve kterém ionty provádí svůj selektivní pohyb.17 Tento tok elektronů dočasně změní polaritu kontaktovaných zubů na kladný náboj, umožňujíc přerušení iontové vazby mezi zubem a plakem. Plak je poté přitahován k negativně nabitým štětinám zubního kartáčku, což zlepšuje odstranění plaku.18
Výsledky studie odhalily statisticky významný příznivý účinek na nižší skóre plaku a gingivitidy po 6 měsících. Tato zjištění jsou v rozporu se závěry studie Van der Weijdena a kol.,19 kteří nezjistili žádný příznivý účinek. Jejich studie byla podobná, i když probíhala pouze pět místo šesti měsíců. Jejich zdrojem proudu byly dvě 1,5V baterie. Důležitým rozdílem může být jejich design zubního kartáčku. Zubní kartáček testovaný v této studii byl navržen pro ruční použití, zatímco zubní kartáček použitý ve studii Van der Weijden19 byl navržen tak, aby dodával jak elektrický proud, tak vibroval. Zdá se, že objemný design rukojeti jejich zubního kartáčku ztěžuje ruční použití. Zubní kartáček byl testován s vypnutou vibrací, což dává důvěryhodnost teorii, že manipulace byla obtížná. Kromě toho použili pouze hodnocení půlky úst a my jsme použili bodování celých úst.
Nebylo vynaloženo žádné úsilí na změnu návyků čištění zubů, i když jednotlivci dostali pokyny, aby správně drželi zubní kartáček. Bylo jim také řečeno, aby po celou dobu studie používali pouze přidělený zubní kartáček. Při tříměsíčním vyšetření bylo opět zdůrazněno správné používání zubního kartáčku a důležitost čištění zubů dvakrát denně. Pacientům bylo konkrétně řečeno, že rukojeť kartáčku by měla být vlhká a že palec nebo prsty se musí dotýkat kovového pásku.
V této studii nebyly statisticky významné změny ve skóre plaku a gingivitidy pozorovány po 3 měsících; průměrné skóre však bylo v testované skupině nižší. To naznačuje, že subjekt mohl v průběhu času očekávat výrazné zlepšení. Je pravděpodobné, že statistická významnost nebyla patrná po 3 měsících z důvodu Hawthorneova efektu.20 To znamená, že subjekty mají tendenci vykazovat okamžité zlepšení v kontrolních i testovacích skupinách z důvodu velkého zájmu a motivace. Časem zájem upadá a subjekty mají tendenci se vracet ke svým obvyklým postupům čištění. K tomu nepochybně došlo mezi třemi a šestiměsíčními návštěvami. Zlepšení skóre plaku a dásní zaznamenané po 3 měsících lze částečně připsat vysoké úrovni shody obou skupin na začátku studie. Na konci 6 měsíců se však všechny subjekty pravděpodobně vrátí zpět ke svým dřívějším návykům na čistění zubů. Po šesti měsících byly tedy výhody iontového působení patrné na statisticky významné úrovni.
Tato možnost je podpořena odrazem ve skóre plaků a dásní, který byl pozorován v kontrolní skupině, ale ne v testované skupině. To by naznačovalo, že iontový účinek zubního kartáčku hyG je účinný a pomohl subjektům s průměrnými praktikami ústní hygieny dosáhnout lepšího celkového odstranění plaku.
Závěr
Výsledky získané ve studii ukazují účinnost ionizačního zubního kartáčku s 3V baterií. Odstranění zubního plaku a snížení zánětu dásní lze zlepšit použitím ionizačního zubního kartáčku hyG v péči o osobní ústní hygienu. Ionizační kartáček na zuby je bezpečné a účinné zařízení pro čištění úst, pokud je pravidelně používán k odstraňování lidského zubního plaku.
Poděkování
Tato studie byla podpořena grantem od společnosti Hukuba Dental Corporation, 914-1 Nazkari, Nagaroyamacity; Chiba, Japonsko.
*HyG zubní kartáček - jde o stejný kartáček, jen v USA, Thajsku a jiných zemích v té době prodávaný pod značmkou HyG Ionic, v Evropě nyní pod značkou IONICKISS.
Štítky:
Při objektivním hodnocení účinnosti a bezpečnosti léčivých přípravků a zdravotnických prostředků jsou předkládány veřejnosti výsledky ...
Kapské Město, Jihoafrická republika: Přestože celá řada studií naznačuje souvislost mezi onemocněními parodontu a ...
Zjišťování, zda je či není zub vašeho pacienta skutečně hypersenzitivní a nebo pacient trpí ...
SCHWALBACH, Německo / GREIFSWALD, Německo: Nová studie ukázala, že dlouhodobé používání elektrického zubního kartáčku zpomaluje vývoj ...
Průměrná délka života lidské populace se již mnoho let prodlužuje, což má za následek nárůst počtu pacientů, u nichž se objevují různé ...
Ošetřit bezzubé pacienty zubní náhradou představuje pro stomatologii stále velkou výzvu. Dentální implantologie však v dnešní době nabízí ...
Komplexní klinická studie ukázala, že endodontické léčebné protokoly zahrnující nástroje Reciproc (Dentsply Sirona) podporují lepší léčebné...
CHENGDU, Čína: Epidemiologická data naznačují, že zubní lékaři trpí očními onemocněními častěji než řada jiných profesních skupin. ...
Příroda nás vždy uchvacovala svými krásami. Nezbývá nám než žasnout nad přirozenou estetikou krajiny, západu slunce nebo nad detaily ...
Pacient se ke mně dostavil s akutní bolestí v horním levém kvadrantu. U zubu 26 byla diagnostikována akutní apikální periodontitida a byl ošetřen...
Živý webinář
Po. 11 května 2026
6:00 (CET) Prague
Živý webinář
Po. 11 května 2026
7:00 (CET) Prague
Živý webinář
Út. 12 května 2026
7:00 (CET) Prague
Živý webinář
Čt. 14 května 2026
6:00 (CET) Prague
Živý webinář
Čt. 14 května 2026
8:00 (CET) Prague
Prof. Hani Ounsi DDS PhD FICD
Živý webinář
Út. 19 května 2026
5:00 (CET) Prague
Živý webinář
Út. 19 května 2026
7:00 (CET) Prague
Prof. Dr. med. dent. Ivo Krejci
To post a reply please login or register